
Сопротивления обмоток, позистора, потребляемая мощность и холодопроизводительность (критерий для подбора при замене) компрессоров, применяемых на холодильных приборах Stinol и Indesit Таблица представляет собой фрагмент технической документации, выпускавшейся заводом-производителем. Данные в таблице относительно старые и в ней не указаны некоторые модели компрессоров, устанавливавшиеся на холодильники Стинол и Индезит.
Производитель | Модель | Сопротивление раб. обмотки, Ом | Сопротивление пуск, обмотки. Ом | Потребляемая мощность. Вт | Сопротивление позистора. Ом | Холодопроизводительность, Вт |
Хладагент R12
|
||||||
Matsushita |
FN91Q17G |
8.6 |
30.5 |
188 |
33 |
221 |
Matsushita |
S111 LKAA |
14.97 |
34.1 |
118 |
33 |
110 |
Matsushita |
S110 LKAA |
18.08 |
35.1 |
104 |
33 |
96 |
Matsushita |
FN110Q22G |
7.22 |
17.69 |
233 |
33 |
220 |
Necchi |
ESM8.5 |
12 |
30 |
177 |
202 |
|
Necchi |
ESM 5 |
17.1 |
40.1 |
117 |
121 |
|
Necchi |
ESM4 |
23 |
46.2 |
107 |
121 |
|
Verdichter |
V-1040G |
17.9 |
29.3 |
125 |
130 |
|
Verdichter |
V-792E |
23.9 |
26.2 |
95 |
96 |
|
Eda |
EE-47 |
18.6 |
26 |
115 |
125 |
|
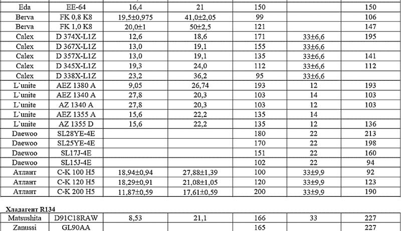
Eda |
EE-64 |
16.4 |
21 |
150 |
150 |
|
Berva |
FK 0.8 K8 |
19.5±0,975 |
41.0±2.05 |
99 |
106 |
|
Berva |
FK 1.0 K8 |
20.0±1 |
50±2.5 |
121 |
147 |
|
Calex |
D 374X-L1Z |
12.6 |
18.6 |
171 |
33±6.6 |
195 |
Calex |
D 367X-L1Z |
13.0 |
19.1 |
155 |
33±6.6 |
|
Calex |
D 357X-L1Z |
13.0 |
19.1 |
135 |
33±6.6 |
141 |
Calex |
D 345X-L1Z |
19.3 |
24.0 |
112 |
33±6.6 |
112 |
Calex |
D 338X-L1Z |
С1 СП |
36.2 |
95 |
33±6.6 |
|
L'unite |
AEZ 1380 A |
9.05 |
26.74 |
193 |
12 |
193 |
L'unite |
AEZ 1340 A |
27.8 |
20.3 |
103 |
14 |
103 |
L'unite |
AZ 1340 A |
27.8 |
20.3 |
103 |
12 |
103 |
L'unite |
AEZ 1355 A |
15.6 |
22.2 |
135 |
14 |
|
L'unite |
AZ 1355 D |
15.6 |
22.2 |
135 |
12 |
136 |
Daewoo |
SL28YE-4E |
180 |
22 |
213 |
||
Daewoo |
SL25YE-4E |
170 |
22 |
198 |
||
Daewoo |
SL17J-4E |
151 |
22 |
160 |
||
Daewoo |
SL15J-4E |
102 |
22 |
94 |
||
Атлант |
C-K 100 H5 |
18.94±0.94 |
27.88±1.39 |
100 |
33±9.9 |
92 |
Атлант |
C-K 120 H5 |
18.29±0.91 |
21.08±1.05 |
120 |
33±9.9 |
123 |
Атлант |
C-K 200 H5 |
11.87±0.59 |
17.61±0.59 |
200 |
33±9.9 |
190 |
Хладагент R134а
|
||||||
Matsushita |
D91C18RAW |
8.53 |
21.1 |
166 |
33 |
227 |
Zanussi |
GL90AA |
165 |
227 |
|||
Calex |
D 174X-L1Z |
12.6 |
18.6 |
167 |
33±6.6 |
|
Атлант |
C-K0100H5-02 |
18.94 |
27.88 |
114 |
33±8.5 |
107 |
Атлант |
C-K0120H5-02 |
18.29 |
21.08 |
126 |
33±8.5 |
143 |
Атлант |
C-K0140H5-02 |
15.10 |
20.10 |
137 |
33±8.5 |
157 |
Атлант |
C-K0160H5-02 |
14,74 |
19.60 |
160 |
33±8.5 |
172 |
L'unite |
THB1340Y |
23.50 |
20.50 |
95 |
12 |
104 |
L'unite |
THB1350Y |
18.70 |
20.90 |
104 |
12 |
121 |
L'unite |
THB1360Y |
16.50 |
21.80 |
123 |
12 |
147 |
Danfoss |
NL6FT |
12.60 |
12.40 |
155 |
50 max |
158 |
Danfoss |
NL7FT |
10.70 |
13.00 |
175 |
50 max |
182 |
Danfoss |
NLE7F |
14.90 |
17.90 |
140 |
50 max |
185 |
Danfoss |
NLY7F |
11.80 |
12.70 |
180 |
50 max |
213 |
T.do Brl |
TW1368YS |
170 |
||||
Бирюса |
KBO 140 |
157 |
||||
Бирюса |
KBO 160 |
179 |